首页> 学习> 6和20的最小公倍数

6和20的最小公倍数

时间:2023-10-11 16:55:33

16和20的最小公倍数。

80。因为:16=2*2*2*2、20=2*2*5,最小公倍数是2*2*2*2*5=80,故答案为80。

是指在两个或两个以上的自然数中,如果它们有相同的倍数,这些倍数就是它们的公倍数。公倍数中最小的,就称为这些整数的最小公倍数。

A和B,A/B=C,如果A能被B整除,则A为B和C的公倍数 两个数A和B,它们的公倍数就是既是A的倍数又是B的倍数的数,即能同时被A、B整除的数 比如说:12和15,它们的公倍数是60,120,180,等等 在这些公倍数中最小的那一个就叫最小公倍数,就是60。

618是什么节日

16=2x2x2x2,20=2x2x5;

所以16,20的最小公倍数是:2x2x2x2x5=80。

希望能帮到你!

十六和二十的最小公倍数

16和20的最大公因数是四

所以它们的最小公倍数是4×4×5=80

用短除法求最大公因数和最小公倍数怎么求

16和20的最大公因数是4,最小公倍数是80。

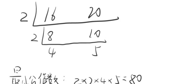
16和20连除以两个2,剩下为4和5,则最大公因数为2×2=4,

最小公倍数为2×2×4×5=80。

6和20的最小公倍数

先把这两个的质因数写出来,最小公倍数等于它们所有的质因数的乘积(如果有几个质因数相同,则比较两数中哪个数有该质因数的个数较多,乘较多的次数)。

20=2×2×5,

16=2×2×2×2,

最小公倍数是:2×2×2×2×5=80。

扩展:

两个或多个整数公有的倍数叫做它们的公倍数,其中除0以外最小的一个公倍数就叫做这几个整数的最小公倍数。整数a,b的最小公倍数记为[a,b],同样的,a,b,c的最小公倍数记为[a,b,c],多个整数的最小公倍数也有同样的记号。

16和19的最小公倍数是多少

通过观察,我们发现16和19只有最大公因数1,这说明了16与19是互质数。根据互质的定义:凡是大于1的整数,(自然数)如果,它们只有一个公因数1,即1是它们的最大公因数。那么,这两个数是互质数。

因此,要求16与19的最小公倍数,只要求出这两个数的乘积,就是它们的最小公倍数。

16×19=304

即 [16  19]=304

以上就是关于618是什么节日,6和20的最小公倍数的全部内容,以及16和20的最小公倍数。的相关内容,希望能够帮到您。

相关文章: